Revision of the living Pustularia
(Mollusca: Gastropoda: Cypraeidae)
with the description of P. chiapponii n. sp.
from: La Conchiglia 292, 1999 p. 11-28, modified 2006

Caution: this is an old, largely obsolete article. The book Lorenz, F. 2014. "Monograph of the genus Pustularia (Gastropoda: Cypraeidae)". ConchBooks, Harxheim. 130 pp., 30 plts gives a more up-to-date view on this fascinating genus.

Abstract

The genus Pustularia represents a distinctive unit in the Cypraeid subfamily Erosariinae. In its species, it is difficult at first sight to determine anterior and posterior end as a result of a tertiary bilateral symmetry. The species are very similar to each other and their taxonomy has been subject to recent debates. This study clarifies some of the points in question and gives a comprehensive anaylsis of conchological features on the basis of populations from selected localities. A new species from the Philippines is described as P. chiapponii.

Contens

0. Prefatory remark on the shell-shape of the family Cypraeidae
1. General notes on the natural history of the genus

2. Comments on the taxonomy of some living Pustularia
3. The conchological features of Pustularia
4. A new species of Pustularia from the Philippines
5. The living species of Pustularia
6. The subadult shells of Pustularia
7. Relation between locality and average shell-length
8. Colour plates
Acknowledgements
Literature


Prefatory remark on the shell-shape of the family Cypraeidae

An ancient systematic criterum for subdividing the animal kingdom is the body symmetry. The Radiata comprise radially symmetrical animals (e.g. Cnidaria). The Bilateria are the large group of bilaterially symmetrical animals, to which the Tribus Mollusca belongs. Its orders comprise animals with a longitudinal symmetry-axis dividing the animal in two almost equally built portions. In most families of the Order Gastropoda, this symmetry is lost due to the torsion of the visceral sac and the subsequent coiling of the shell. These animals have secondarily attained an asymmetrical appearance, often emphasized optically by special shell-processes on only one side (e.g. Strombidae).

There are a few Gastropod families in which dorsally one side of the shell is the reflected image of the other - only basally the differences in the compositon of the two sides is apparent. In these cases we have a secondary optical relevation of the body symmetry, from an asymmetrical to a symmetrical shell. This phenomenon can be observed in the family Ovulidae, Triviidae and Cypraeidae, in which the species display a certain degree of bilateral symmetry in shell-shape and -ornamentation. Good examples are the genera Luria (e.g. pulchra (Gray, 1824)), Bistolida (e.g. stolida (Linné, 1758)) and, last not least, Pustularia (e.g. bistrinotata). May be, the optical bilatery escapes the food-scheme of molluscivore crustaceans which detect food by sight. In their habitat of narrow coral crevices, the Pustularia-species are usually inaccessible for molluscivore fish, which search for food by chemical rather than optical stimuli.


1. General notes on the natural history of the genus Pustularia

The species of Pustularia are highly specialized, mostly sublitoral reef dwellers. The peculiar shape of the shell in all species of the genus make it a well defined systematic subunit within the family Cypraeidae. The genus Pustularia has ancestral forms mainly in the Caribbean Oligocene. Comparing living and fossil species, Pustularia might have evolved from Proadusta -like forms (fig. 1), which hypothesis makes the sole survivour of the old genus Proadusta surinamensis (Perry, 1811) the closest living relative in the Atlantic. In the Indo-Pacific there is the widespread genus Staphylaea whose granulose surface and dentition are similar to those of Pustularia. The relationship of the five living species of Staphylaea to Pustularia is uncertain, but probably close. Both genera seem to have evolved from a common pustulose ancestor.

Living species of the genus Pustularia have distributions from the Red Sea, the Indian Ocean and the western and central Pacific to the Hawaiian Islands. An Indopacific species similar to Pustularia is Nesiocypraea lisetae Kilburn, 1972 (fig. 1). It differs by having a distinctly curved aperture and a distinctly denticulate fossula, which is narrow and smooth in all Pustularia species. In adult shells of Nesiocypraea lisetae there is a callous ridge connecing both, labral and columellar teeth. In Pustularia, a comparable ridge may be present on columellar side, especially in subadult specimens of P. cicercula and P. margarita, but it is not found towards the extremities as in N. lisetae. Adult shells of all Pustularia species form a remarkable posterior extremity composed of a callus-accumulation and two marginal spines formed by the posterior terminal ridges (fig. 3). This type of posterior extremity characterizes the Pustularia-shell. It is not found in any other living Cypraeid species and also lacks in the Caribbean fossil species assigned to Pustularia.



Fig. 1 (left): Proadusta moloni, Vicenza, Late Eocene (20 mm), (right): Nesiocypraea lisetae, Richardsbay, Natal (15 mm)

2. Comments on the taxonomy of some living Pustularia

A great deal of confusion was caused by Schilder (1966) concerning the type species of Pustularia, P. cicercula (Linné, 1758). He studied the Linnean collection in the British Museum in 1936 and based his later descriptions of subspecies (Schilder & Schilder 1938) on this experience, whereas the results from the 1936 visit were published only thirty years later.

Linné hardly ever designated type specimens, and in many cases it has been difficult to derive sufficient information from his brief descriptions. The correct usage of names such as labrolineata and flaveola is still being debated: just two examples from the Cypraeidae.


Fig. 2: Type figures from Rumphius (1705) Plate 39. K: cicercula, L: margarita

Schilder did not find specimens of cicercula in the remains of the Linnean collection, but he located two shells he identified as bistrinotata bistrinotata: those were reported to be badly corroded, without basal blotches, but with very faint spots and blotches dorsally. There are traces of a dorsal groove. Schilder concluded that these two shells were Linné's types of cicercula, hence synonymous with bistrinotata. He proposed to change the usage of the name cicercula for the shell formerly known as bistrinotata. In the brief Schilder description of cicercula, Linné does not mention any dorsal blotches, but to Schilder there seemed no doubt that the two eroded shells in the Linnean collection were the types of cicercula.

Linné was a very accurate observer, and it therefore appears unlikely that dorsal blotches would have escaped his attention or were considered insignificant.

For many reasons, later authors did not accept the taxonomic changes postulated by Schilder, and indeed they appear too forward. himself admitted in the 1966 work: For though we cannot be absolutely sure that the specimens preserved in Linnaeus' collection are the same shells which Linnaeus faced when he composed his descriptions, there is a probability in different degrees that it was so. Taking this into account, it is confusing why Schilder & Schilder described bistrinotata in 1937, only one year after studying the questionable shells in the Linnean collection.

There is no explicit holotype specimen of cicercula. The figures and the text of the original description are all we have at hand. Linné, like many other later taxonomists, based many of his taxa on illustrations from other publications, and in the case of Mollusca, the work by Rumphius (1705) was a frequently used source. A famous example is Conus aurisiacus Linné, 1758 which is depicted in perfection in this monumental work. In the case of cicercula, the figure Linné based his description on is also in Rumphius plate 39 fig. K (see also Dodge 1953). This illustration shows a pustulose shell with a distinct dorsal groove and a spire blotch. Apparently, this figure in Rumphius shows a cicercula in the sense the name is in use today, as the combination of a dorsal groove and a spire blotch is specific. Schilder himself did not follow his own proposal of 1966, as in the Catalogue of 1971 the traditional usage of cicercula and bistrinotata is maintained (see also Burgess 1977).

Incidentally, in the same work by Rumphius there is the well recognizable original type figure of margarita (Dillwyn, 1817) (pl. 39 fig. L), explicitly described as being completely smooth compared to the granulose shell (knorrelige Kopje) of fig. K on the same plate (= cicercula). These illustrations from Rumphius are reproduced here (Fig. 2).

In the above-mentioned 1966 article, Schilder described the supposed types of globulus from the Linnean collection. These shells show the characteristics of the typical globulus globulus coming from Sri Lanka and Thailand and correspond with s description. This is one case in which the assignment of a Linnean name is referable to actual specimens in his collection and most likely correct, even at the subspecific level.

The taxa introduced by Schilder & Schilder are: bistrinotata bistrinotata (1937), b. mediocris, b. sublaevis, and globulus sphaeridium (all 1938) and finally bistrinotata keelingensis (1940). Their characteristics and measurements, along with the type localities are compared precisely in the Prodrome of a Monograph p. 126-127. The interpretation of these names, as well as their correct assignment to the various series of shells investigated therein presents no problem.

The recently described Pustularia jandeprezi Poppe & Martin, 1997 will be discussed below.

Finally, mauiensis Burgess was based on a series of shells. The species was illustrated and described and compared carefully and accurately.

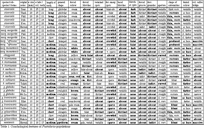
3. The conchological features of Pustularia

The shells of Pustularia can readily be separated from others in the family Cypraeidae by the globular body, with the above-mentioned spiny-rostrated extremities in combination with an extremely narrow aperture framed by fine dentition. A pustulose surface is common. A second ridge formed by the teeth on the columellar side is sometimes found inside the aperture, while the edge of the moderately narrow fossula is always smooth. The spire is slightly projecting in the subadult, but completely concealed by callus in the adult stage. The species of Pustularia differ from each other mainly by different combinations of very few features, some of which are not found in other Cypraeidae. The terminology for the Pustularia shell is shown in Fig. 3.

The most important features for taxonomic distinction are the presence or absence of
a) the spire blotch
b) dorsal granules
c) the four basal blotches
d) the three dorsal blotches

To judge the value of the various shell features, it proved necessary to examine larger series of specimens from defined geographic origins. The comparisons were made on series consisting of at least ten specimens. Table 1 shows the results of this study of 32 lots of more than 1100 specimens from 20 localities. Values printed in bold letters are those of highest consistency, denoting that 100% of the examined specimens of the respective lots show the feature. Those entries printed in standard letters describe lots in which 75% or more of the examined specimens show the particular feature. The remark variable denotes that a feature was found to be highly variable and hence of no value for distinction. For the comparative analysis, a consistent feature (100%) is an argument in favor of a distinction at the species level, while in a subspecies or a forma, a certain number of qualitative (75%) features may be sufficient.



Fig. 3a: Terminology of the shell of Pustularia (dorsal view)



Fig. 3b: Terminology of the shell of Pustularia (basal view)

Explanation of the categories (features) in Table 1:


The lots and localities (in alphabetical order)
:
•And: Andaman Sea, a small lot of shells collected by divers between 1991 and 1994.
•Eilat: Specimens collected between 1985 and 1990.
•Hawaii: Olavalu, Maui Is., collected in shallow water between 1983 and 1990 ( mauiensis), and fifteen specimens of a cicercula-like population from Oahu (see chapter 5).
•Keel.: Cocos/Keeling Island, collected between 1967 and 1975.
•Kwa.: Kwajalein Atoll, a large lot of more than 200 specimens collected by Scott Johnson in depths of 30-35 m between 1990 and 1996.
•Maurit: Mauritius, a lot of beach-collected material from 1981 to 1984.
•NCal.: Noumea, New Caledonia (1983-1986).
•Phil.: Philippines. The lot of P. chiapponii n. sp. from Borongan, E. Samar Island, collected between 1985 and 1990. In addition to this lot of twelve specimens, there are an additional 40 specimens supplied by the company Tridagna (Spain) who could not give details about their origin except Philippines. Those shells correspond exactly with those from ascertained origin so that they were included in the study. The other lot marked Philippines is from Samar Island, collected between 1979 and 1995.
•Taiwan: A lot of shells collected between 1990 and 1992 in the south of Taiwan.
•Tahiti: Specimens collected by divers in the area around Hitiaa, Tahiti between 1986 and 1995.
•Thail.: Specimens from Phuket island, Thailand, collected between 1985 and 1990.
•Tua.: Tuamotu, a lot of shells labeled Tuamotu ’69 from the Eva Roscoe collection.
•Tuléar: Madagascar, collected by snorkeling, 1996.
•Samoa: specimens from the northwest coast of Savaii Island, Western Samoa, collected between 1992 and 1996.
•Solom.: Malaita and Marau Sound Islands, collected between 1965 and 1975.
•Sri La.: from Beruwala to Kosgoda Beach, S. W. Sri Lanka, a larger lot of shells collected on the beach after storms, between 1990 and 1997.
•Zanz.: Zanzibar Island, a large lot of shells collected on the shore after the cyclone of 1967.

Size
: Obtained from the average measurement of all available adult specimens.

General shape: Although shape in Pustularia is rather similar in all species compared with other cypraeids, the tendency of the shell’s body (not considering the extremities) was compared.

Dorsal color
: The ground color of the dorsum varies little throughout the genus; it was found to range from cream to brown, with variable shades of yellow or orange. Plain white shells were found to be an exception.

Dorsal blotches: These actually consist of three pairs of darker staining on either side of the dorsal line (the name bis-tri-notata refers to these). The mid-dorsal pair is often missing while traces of the anterior dorsal blotch are rather common. The complete absence of any trace of dorsal blotches safely separates a number of species from those groups which occasionally have such traces. Caution: In P. cicercula, for instance, there may be an accumulation of brown pattern along the dorsal line, but this is not the same feature, as it is formed by the secondary (adult) pattern. The three pairs of dorsal blotches described here are already formed by the subadult shell (see below), they are always absent in P. cicercula.

Terminal spots: Some species show a darker staining of the extremities visible only in the dorsal view. In Pustularia, this feature seems of little importance for species and subspecies characterization.

Dorso-marginal spots: The marginal spotting in Pustularia species usually extends also onto the dorsum, where it mixes with a very fine brown mottling or spotting. The latter is a very variable feature and was not compared, while the coarser spotting itself was found to be of relative importance. In granulose species, a spot usually occurs together with a granule.

Basal blotches
: In some Pustularia species there are two marked blotches on either side of the aperture. This feature was found to be of considerable importance for separation of species and subspecies. In some taxa, the blotches may be small, incomplete, or faint, and sometimes present only in a certain percentage of specimens. In those cases a statistical comparison may be important for identification, especially on the subspecific level.

Dorsal groove
: This feature is usually correlated with the degree of dorsal granulation. Heavily granulose specimens usually have a well-defined and deeply cut dorsal groove. This feature is important for separating species in those cases where it is never found vs. those taxa where it occurs at least occasionally.

Blotch at spire: Even if a dorsal groove does not exist there is a more or less distinct depression left of the spire in adult shells. In two species, this depression is distinctly blotched darker while it is not in all other taxa.

Dorsal granules: The degree of granulation and the areas of the dorsum showing granules may vary considerably. The mere fact whether granules may ever be found or not is important for species distinction. The taxa compared in Table 1 are thus interpreted as either granulose (distinct, indistinct or variable) or smooth (absent).

Aperture: The aperture of all Pustularia is very narrow and of the same width throughout. In most taxa, it is rather straight or very slightly curved to the left. There are some taxa, however, in which the aperture shows a distinct curve to the left in the posterior third of the shell.

Shape of extremities: Although in all species of the genus, the extremities have about the same structure, the degree of rostration and the thickness of the terminal spines varies. The data in the table reflect the general impression gained from comparison of the various series.

Dental color: Darker staining of the teeth usually varies considerably within a single lot, but there are certain groups in which this feature is highly consistent. Comparison of the dental color is always made with the color of the middle of the base.

Average number of labral and columellar teeth: The teeth of each specimen of the lot were counted excluding indistinct crenulations towards the extremities. The numbers given here are the actual number of teeth counted, not the normalized number after Schilder & Schilder 1938 (relative number of teeth in a hypothetical shell of 25 mm length).

Length of teeth
and columellar callus bridge: The length of the teeth is described as short = not reaching the middle of the labrum or mid-base, medium = reaching onto the middle of the labrum or base, or long = reaching far across the labrum and base, touching the margins. In some shells, there is an accumulation of callus more or less covering the teeth. This cover may be present only along the aperture, forming a narrow bridge across the teeth. In some cases, the callus is massive and covers all of the teeth in the mid-third along the aperture.

The data in Table 1 reveal that at least five species can be defined on the basis of consistent features. It is also apparent that a population of aberrant shells was examined whose conchological relationship to bistrinotata is obvious, apart from very constant features that suggest a distinction at the species level. This population is described below as Pustularia chiapponii n. sp.

4. A new species of Pustularia from the Philippines

Material
Two lots of live-collected shells were obtained recently from commercial shell dealers. One lot of twelve specimens is from Borongan, Samar, and the other lot of 40 specimens reached the author without locality data except Philippines. Both lots were mixed with larger quantities of cicercula, margarita and globulus, as well as typical bistrinotata bistrinotata, suggesting that the origin is indeed the Philippines. Since both lots of shells show identical shell features, it is assumed that they were collected in the same area. It is astonishing that despite the vast exploitation of the Philippines Islands, even today shells appear which have never before been illustrated or studied. The new taxon is described here in honor of Dr. Marco Chiapponi of Lecco, who has contributed for a long time to the study of the interesting genus Pustularia.


Pustularia chiapponii n. sp.

Description
Greatly inflated, globular. The extremities are distinctly rostrated but barely margined. The spire is large, somewhat projecting, completely covered by a thick callus. Dorsum and margins are densely granulose; those granules are less distinct towards the middle of the dorsum. There is a deep dorsal groove running longitudinally across the shell, forming a Y-shaped depression bordering the posterior extremity. The posterior terminal callosity is well developed. The aperture is narrow and conspicuously curved to the left in the posterior third.

The teeth on both sides are fine, rather weak, but well defined throughout their way across both labrum and base and far onto the margins on both sides where they meet the dorsal pustules. The posterior labral margin is crossed by the teeth, which thus are visible as spiny processes in the dorsal view. The entire shell is pale yellow, there are no traces of basal blotches, nor is there any staining of the teeth. The yellow color is slightly paler only towards the aperture. There are three barely perceptible darker patches dorsally, which may be interpreted as blotches. These are, however, not separated by the dorsal groove. There are no traces of smaller marginal or dorsal spots.

The paratypes correspond exactly with the holotype, none of the features described above are subject to perceptible variation.

Designated types
Length x width x height (mm), (labral teeth: columellar teeth), depository
Holotype: 19.1 x 12.6 x 11.4 (24 : 22) coll. HDN Cismar
Paratype 1: 19.1 x 12.6 x 11.6 (24 : 18) coll. Chiapponi
Paratype 2: 16.4 x 10.4 x 9.4 (25 : 18) coll. Chiapponi
Paratype 3: 17.7 x 11.5 x 10.2 (24 : 18) coll. Lorenz
Paratype 4: 19.4 x 12.3 x 11.0 (22 : 18) coll. Lorenz
Paratype 5: 18.7 x 11.5 x 10.3 (25 : 19) coll. Lorenz
Paratype 6: 19.7 x 12.3 x 11.0 (25 : 19) coll. Chiapponi
Paratype 7: 17.9 x 11.1 x 9.9 (24 : 18) coll. Chiapponi

Type locality
The only ascertained locality of the new species is Borongan, Eastern Samar Island, Philippines. The habitat is unknown but suspected to be rather shallow water.

Discussion
Pustularia chiapponii belongs to the group of pustulose species without a spire blotch. The only similar species, therefore, is P. bistrinotata from which it differs by the following features: complete absence of basal blotches in all specimens known. There are some specimens of bistrinotata, especially of its Melanesian subspecies mediocris, in which the basal blotches are reduced, incomplete, or even absent. In mediocris, the percentage of specimens without basal blotches is 40% for Solomon populations and 25 % for New Caledonian populations. In 60% of the Solomon specimens and 75% of the New Caledonian specimens, there are at least apparent remnants of basal blotches.



Fig. 4: The characteristic posterior extremity of a Pustularia. Left: P. chiapponii n. sp., right: P. bistrinotata. (SEM photos)

In chiapponii, the teeth are long, extending far across the base and the labrum, they are never interrupted by a callus-bridge, and in no specimen are they shorter mid-way on either side. In none of the populations of bistrinotata are there teeth of comparable length. Furthermore, the teeth meet with the dorsal granules, which are often connected.

In P. bistrinotata, the pustules are usually separate and distinct from each other (Fig. 5). The posterior labral teeth cross the terminal margin (Fig. 4, left). This feature is seen only in exceptional specimens of bistrinotata. All populations of bistrinotata show a brown spotting of the margins as well as the dorsum. Smaller spotting is not developed in chiapponii.

The dorsal blotches characteristic of bistrinotata are almost absent in chiapponii, in which the darker zone is not split in two by the groove mid-dorsally. The spire of chiapponii is large, situated right of the posterior extremity, and despite being covered by callus, is still visible as a slight projection (Fig. 4, right). This is usually not seen in bistrinotata. The distinctly curved aperture is typical in the Polynesian sublaevis but rarely in populations of the Western Pacific. Finally, the general shape of chiapponii differs by being more globular, with the extremities being coarser and rather knobby.

The pale yellow color all over is only found in southeastern Melanesian populations of mediocris, and especially in New Caledonian shells. Those, however, are less inflated, their dorsal groove is indistinct, the basal blotches are faint but visible, the teeth are coarser and much shorter, and the posterior columellar teeth do not cross the posterior labral margin towards the dorsum.

A distinction of chiapponii from other members of the genus represents no problem.



Fig. 5: The characteristic posterior extremity of a Pustularia (columellar view) Left: P. chiapponii n. sp., right: P. bistrinotata. (SEM photos). Note the connected pustules in P. chiapponii.

Remarks:
1) In the meantime, three fresh dead and one living specimens of P. chiapponii were collected by a diver from 25 m depth at Divinubo Island, just opposite Borongan Bay, Samar. The specimens were collected at night, lying upside down on the floor of a small cave. They had probably dropped from the roof of the cave, which was reported to be densely overgrown with sponges and soft corals.
2) It is probable that on the international shell market, the species will not be thoroughly recognized as it is easily confused with new Caledonian bistrinotata mediocris. To summarize again the main differences: in chiapponii, the teeth are more numerous, and longer, reaching far across base and margins. The pustules in chiapponii are finer and denser, and there are no distinct darker spots or basal blotches. The aperture is more corved, the extremities thicker. Click here for a closeup comparison.
5. The living species of Pustularia

A cladographic comparison of all species and subspecies of the genus based on those features whose statistic consistency is greatest would produce relationships given in Fig. 6.

According to this interpretation, the presence or absence of a spire blotch is ranked as a conservative feature that has been lost completely in one lineage while it was retained in the other. It is the most consistent and apparent feature, along with a number of linked characteristics separating the cicercula/margarita group from the globulus/bistrinotata group in which basal blotches and orange to red ground color may occur.

The dorsal granulation was reduced independently (as a secondary adaptation) in both lineages: in the cicercula/margarita group ( margarita) and in the globulus/bistrinotata group ( globulus, and to a high degree in mauiensis). It is a feature shared with the related Indo-Pacific Staphylaea, but not with the older ancestral Atlantic forms, such as Proadusta.



Fig. 6: A possible cladographic interpretation of the living species of Pustularia

In mauiensis, rudimentary granulation is present in occasional specimens, as is the basal and dorsal blotching. This places mauiensis in close proximity to bistrinotata. In all three, globulus, bistrinotata, and mauiensis, the basal blotching is either well-produced or at least rudimentary, whereas in chiapponii it is lost.

The number of features that are not found in chiapponii (blotches on base and dorsum, marginal spotting, no columellar callus-bridge) weigh against those which are specific for chiapponii (longer teeth, connecting granules, curved aperture, projecting spire, denticulate posterior labral margin). The features compared in the cladogram are merely of a conchological nature and do not necessarily reveal biological relationships. Their evaluation in the cladogram shown here is not the only possible one, but a consequence of the above-made interpretations.

P. cicercula and margarita form a group of two closely related taxa separable by one consistent conchological feature only. Both have a distinct spire blotch that is not found in the other taxa. Furthermore, both have no traces of basal or dorsal blotches. Recent radula studies confirm their status (Lorenz, 1998). Bradner & Kay (1996) also illustrate the radulae of cicercula and margarita. Their illustrations show radulae of certain variability but with apparent differences between the taxa.

In specimens from Kwajalein, the mantle of cicercula shows a darker spotting, the papillae are rather thin and short. In margarita from the same locality, the mantle is translucent, with only few white spots encircling the somewhat thicker and longer papillae. How well these features can be used to draw conclusions, however, is so far uncertain. Interestingly, the somewhat rarer margarita has a wider distribution and a far greater geographic variability compared to cicercula. Three forms are compared in the table. The rare western africana hardly differs from typical margarita, whereas the features of tuamotensis are rather constant and remarkable. It is suggested that tuamotensis deserves subspecific rank.

As can be seen by comparing the data in Table 1, P. cicercula shows little variation throughout its wide distribution. Specimens from the western Indian Ocean are occasionally distinguished as subspecies or form lienardi (Jousseaume 1874). The features assigned to this taxon by Schilder & Schilder 1952 simply cannot be ascertained for East African or Red Sea specimens, merely the smaller average size is relatively constant.

A set of shells from Oahu, Hawaii should be mentioned here, provisionally encorporated as ? cicercula in Table 1. Conchologically, these specimens have intermediate features between cicercula and margarita, as the dorsum is usually smooth on top but faintly pustulate towards the rostrated extremities. The teeth are very fine and unstained. The most striking feature is the reduction of the spire blotch, which is barely visible in some specimens.The systematic position of this population is so far under study.

The group of shells without a spire blotch is split into four species:

P. chiapponii, in which no basal blotches, no marginal spotting, but a distinct granulation are found. It is the least variable species with a very limited distribution in the Philippines.

P. bistrinotata the most variable species, with a number of geographic subspecies and varieties, which are compared in Table 1. Generally, the species is characterized by the combination of four basal blotches, three pairs of dorsal blotches separated by a more or less distinct sulcus, and the pustulose surface.

In the western b. bistrinotata the dorsum is rather humped, the teeth are nearly always stained darker, the basal blotches are distinct and large, the dorsal blotches are dark and wide, the dorsal ground color is a saturated reddish-brown and the marginal spots are dense and dark.

The name keelingensis was introduced for specimens from the Indian Ocean. It is described as being more humped, less granulose, without distinct dorsal sulcus and less produced teeth, the basal blotches are described as being well-marked. Such shells are found throughout the Philippines, and mainly Samar and Bohol, but the concept of keelingensis was not found to characterize particular specimens from Cocos/Keeling Island and other western localities. It is considered a syynonym of bistrinotata bistrinotata.

In Melanesia and Micronesia, the paler and more elongate mediocris occurs. In Micronesian populations the shells are rather small, rostrated, and bright orange, while Melanesian specimens are usually yellowish. Callused, larger and rather pale New Caledonian specimens have been separated as forma cicerculaeformis Raybaudi, 1993.

The less granulose, more distinctly curved and blotched Polynesian sublaevis is considered a subspecies here, judging from the series examined. However, the separation from mediocris is sometimes difficult and only possible when larger numbers of shells from ascertained localities are compared.

As already mentioned, the Hawaiian P. mauiensis occasionally shows two or even all four basal blotches and, more commonly, three dorsal blotches. This phenomenon reveals a close relationship with bistrinotata. In many specimens a very indistinct granulation is visible on the anterior portion of the dorsum. The status of mauiensis as a valid species can be confirmed by this study, mainly because of the coarser, shorter and always unstained teeth, as well as a different dorsal and basal ground color. The basally blotched populations from northern Oahu have been separated as ssp. wattsi. DNA analysis confirms their status as separate entity.

P. globulus seems subdivided into four geographical subspecies:

The western brevirostris Schilder & Schilder, 1938 is characterized by smaller size, absence of staining on the teeth, and lack of basal blotches. It is a well-distinguished geographic subspecies ranging from the East African coast to Mozambique, the Seychelles to the Mascarenes, maintaining the characteristic features.

Specimens from the Red Sea show a dark staining of the teeth, which suggests that (despite smaller size) these belong to g. globulus rather than brevirostris. They have been described as g. giftunensis on the basis of Pleistocene fossils. That name is now adopted for the living Red Sea globulus.

The shells of g. globulus from the northern and Central Indian Ocean are often cylindrical rather than globular, the teeth are only faintly marked with brown, the extremities are short and rather solid, four basal spots are rarely seen.

Smaller, more rostrated shells with darker teeth and four distinct basal spots are found in Pacific regions, especially Melanesia and western Polynesia. This eastern form is well known as P. globulus sphaeridium Schilder & Schilder, 1938. The development of typical globulus to sphaeridium is rather gradual, as can be seen from the data in the table.

Philippine specimens may already resemble those from the Solomons which can be assigned to sphaeridium. Still, the status of sphaeridium might be considered as a geographical subspecies with considerable overlapping zone in the western Pacific, while the populations from western Polynesia and Micronesia are consistent in their features and have little resemblance to classic specimens from Sri Lanka or Thailand.


The systematics of the living members of the genus Pustularia according to this study looks as follows:

Genus: Pustularia
1. cicercula (Linné, 1758)
syn.: lienardi Jouss. 1874, vulavula Steadm. & Cott. 1943
2.1 margarita (Dillwyn, 1817)
syn.: tricornis Jouss. 1874
2.2 margarita tuamotensis Lorenz & Hubert, 1993
3.1. bistrinotata bistrinotata Schilder & Schilder, 1937
syn.: quadrimaculata Dautz. & Bouge 1933, keelingensis Sch. & Sch. 1940, jandeprezi Poppe& Martin, 1997
3.2. bistrinotata mediocris Schilder & Schilder, 1938
3.3. bistrinotata sublaevis Schilder & Schilder, 1938
4.1. globulus globulus (Linné, 1758)
syn.: affinis Gm. 1791, tetsuakii Kira 1959
4.2. globulus brevirostris Schilder & Schilder, 1938
4.3. globulus sphaeridium Schilder & Schilder, 1938
4.4. globulus giftunensis Lorenz 1992
5.1 mauiensis mauiensis (Burgess, 1967)
5.2. maueinsis wattsi Lorenz 2001
6. chiapponii Lorenz 1999

6. The subadult shells of Pustularia

Subadult bistrinotata show three blurred darker basal blotches, which later become encircled by darker spotting rising upward from the margins. The basal blotches form rather late in development, as do the dorsal granules. In general, subadult shells of Pustularia have shorter teeth, a high gloss, no development of granules, a partly exposed spire and a posterior extremity without the characteristic structure seen in all adult Pustularia.

Recently, P. jandeprezi Poppe & Martin, 1997 was described from the Philippines and compared with bistrinotata. First impression of the diagnosis suggests that it is based entirely on subadult specimens of bistrinotata. In fact, subadult specimens of bistrinotata are found throughout its distribution, and they do resemble the holotype of jandeprezi in every respect. The authors explain that their type is a fully adult shell with well-formed dentition and extremities and a callused base.


Pustularia jandeprezi (bistrinotata sudadult ?) Philippines


Pustularia jandeprezi (bistrinotata mediocris sudadult ?) Solomons


The description reads as follows:
Shell thin, solid, very globose. The general shape is oval-globular. The extremities are thin, solid and long. The teeth are fine and short. The callus on the base is thick, white to slightly olive colored. Basal blotches may be present or absent. The dorsal color varies from cream-white to olive-brown, most often with a mid-dorsal blotch. The rounded dorsum is smooth and no specimens with dorsal granules are known. The teeth on the columellar side number between 20 and 25. The labial teeth between 21 and 28. The spire is prominent, even in heavy adults. A dorsal line is absent. One paratype [No. 11] is almost entirely white colored, without marginal spotting, and with a pale mid-dorsal blotch (...) [I suspect that latter specimen, which shows absolutely no similarity to any of the other types might be P. chiapponii].

In the discussion, Poppe and Martin stress the absence of any dorsal granules and color differences compared to bistrinotata from the same area, as well as the exposed spire even in callused shells of jandeprezi. The latter is always concealed in adult bistrinotata. There is, according to the authors, also a difference in shape and number of teeth compared to bistrinotata.

Comparison made between subadult specimens of bistrinotata from various localities with the illustrations of the jandeprezi types did not reveal any significant difference, but as the holotype is claimed to be an adult shell, the status of jandeprezi remains an open question.



Fig. 7: Pustularia margarita, subadult. SEM-Photograph (500x)

Sudadult shells of other Pustularia species are translucent and mostly white. The Western brevirostris is plain white, the extremities short and spiny. On the columellar side, a longitudinal denticulate ridge forms prior to the strong dentition, which develops as the shell reaches maturity. Also in cicercula and margarita, the young shells are white, translucent, with a comparable columellar ridge. The latter is typical in adult specimens of the rare Nesiocypraea lisetae, for which subadult cicercula or margarita are occasionally mistaken by dealers. In early stages of all Pustularia, the spire is still exposed. In such shells, the surface (especially on labral side) shows longitudinal growth ridges visible under magnification (Fig. 7). In cicercula and margarita, the subadult shells show two darker transverse bands that are never preserved in fully adult shells.


Pustularia margarita (sudadult), Philippines




7. Relation between locality and average shell length

Another interesting aspect that can be derived from Table 1 is the change in average size from western to eastern localities. Splitting the Indo-Pacific into five sectors, the average shell lengths of each sector vary considerably within a species: shells from the Western Pacific are largest, while those from East Africa and eastern Polynesia are considerably smaller (Fig. 8).

The reasons for this phenomenon are so far unknown. In other genera of Cypraeidae a similar increase in size from western to eastern localities has so far not been confirmed.



Fig. 8: Change of the average shell size with geographic region


8. Colour plates


Acknowledgements

The present study could not have been carried out without the assistance of colleagues and friends. Many thanks to
Prof. Dr. Alex Hubert †, Scott Johnson (Kwajalein) Prof. Dr. Dr. em. Günther Sterba (Markkleeberg); Dr. Hans Werner Koyro (Gießen); Prof. Dr. Klaus-Jürgen Götting (Pohlheim); Prof. Dr. Erhard Schulte (Alten-Buseck), Mohammed Makungu (Zanzibar); Guido Poppe (Berchem); Dr. Marco Chiapponi (Lecco), Ludwig Gabrielli (Neuss), Dr. Vollrath Wiese (Cismar), Xavier Pallarols Blanch, Capt. Felix and Ingrid Lorenz (Lauenburg), and Jana Kratzsch (Buseck-Beuern).

Literature

Burgess, C. M. (1967): A New Hawaiian Cypraea The Nautilus 81:6.
Burgess, C. M. (1977): Here's more about Cypraea labrolineata Hawaiian Shell News 207
Burgess, C. M. (1985): Cowries of the World Cape Town, Gordon Verhoef, Seacomber Publications.
Bradner, H. & Kay, A. (1996):An Atlas of Cowrie Radulae (Mollusca: Gastropoda: Cypraeoidea: Cypraeidae) The Festivus XXVIII Supplement.
Dillwyn, L. W. (1817): Descriptive Catalogue of Recent Shells London, 1: 470
Dodge, H. (1953): Mollusks of Linnaeus Bulletin of the American Museum of Natural History 103:118-121
Lorenz, F. and A. Hubert (1993): A Guide to Worldwide Cowries. Christa Hemmen Verlag, Wiesbaden.
Lorenz, F. (1998): Kauris von Ostafrika. Schriften zur Malakozoologie 11, 1-150.
Poppe, G. T. & Martin, P. (1997): A New species of Pustularia from the Philippines (Gastropoda: Cypraeidae) Gloria Maris 35 (6) 81-88.
Raybaudi, L. (1993): Genus Pustularia World Shells 5:68.
Rumphius (Rumph, G. E.) (1705): Amboinsche Rareitkamer Amsterdam: 113.
Schilder, F. A. & M. Schilder (1938): Prodrome of a Monograph on Living Cypraeidae. Proceedings of the Malacological Society London 23: 119 231.
Schilder, F. A. & M. Schilder (1952): Ph. Dautzenbergs Collection of Cypræidæ Mémoires Institut Royal des Sciences Naturelles de Belgique (2. ser.) 45: 1243 and Pl. IIV.

Schilder, F. A. (1966): Linnaeus type specimens of cowries The Veliger 9: 91100.
Schilder, F. A. & M. Schilder (1971): A catalogue of living and fossil cowries Mem. Inst. Royal Sci. Natur. de Belgique 85 (1971) 1246.